Завдання 29
Обчисліть значення виразу $$\frac{3\sqrt{2}-5}{\sqrt{2}-1}+\frac{\sqrt{24}-\sqrt{300}}{\sqrt{3}}$$.
Рішення
$$\frac{3\sqrt{2}-5}{\sqrt{2}-1}+\frac{\sqrt{24}-\sqrt{300}}{\sqrt{3}}=\frac{3\sqrt{2}-5}{\sqrt{2}-1}+\frac{2\sqrt{2}\cdot\sqrt{3}-10\sqrt{3}}{\sqrt{3}}=$$
$$=\frac{3\sqrt{2}-5}{\sqrt{2}-1}+2\sqrt{2}-10=\frac{3\sqrt{2}-5+4-2\sqrt{2}-10\sqrt{2}+10}{\sqrt{2}-1}=$$
$$=\frac{9-9\sqrt{2}}{\sqrt{2}-1}=\frac{-9(\sqrt{2}-1)}{\sqrt{2}-1}=-9$$
Відповідь: -9.
Завдання 30
Матеріальна точка рухається за законом $$s(t)=2t^2+3t,$$ де $$S$$ вимірюється в метрах, а $$t$$ у секундах. Знайдіть значення $$t$$ (у секундах), при якому миттєва швидкість матеріальної точки дорівнює 76 м/с.
Рішення
$$s^{\prime}$$ – миттєва швидкість матеріальної точки.
$$s^{\prime}(t)=4t+3\Rightarrow 4t+3=76\Rightarrow 4t=73\Rightarrow t=18.25$$
Відповідь: 18.25
Завдання 31
У відділі працює певна кількість чоловіків і жінок. Для анкетування навмання вибрали одного із співробітників. Імовірність того, що це чоловік, дорівнює $$\frac{2}{7}.$$ Знайдіть відношення кількості жінок до кількості чоловіків, які працюють у цьому відділі.
Рішення
Імовірність події $$A:P(A)=\frac{m}{n},$$ де $$m$$ – число сприятливих результатів, $$n$$ – число всіх результатів. Отже, кількість чоловіків дорівнює $$2,$$ а кількість жінок дорівнює $$7-2=5.$$
Відношення кількості жінок до кількості чоловіків дорівнює $$\frac{5}{2}=2.5$$
Відповідь: 2.5.
Завдання 32
Двоє робітників, працюючи разом, можуть скосити траву на ділянці за 2 години 6 хвилин. Скільки часу (у годинах) витратить на скошування трави на цій ділянці другий робітник, працюючи самостійно, якщо йому потрібно на виконання цього завдання на 4 години більше, ніж першому робітникові?
Рішення
Нехай другому працівнику для виконання всього завдання знадобиться $$x$$ годин, тоді першому – $$(x-4)$$ годин. Разом їм знадобиться 2 години 6 хвилин, тобто $$2\frac{6}{60}=2.1$$ години.
$$\frac{1}{x-4}$$ – частина роботи, яку виконає перший робітник.
$$\frac{1}{x}$$ – частина роботи, яку виконає другий робітник.
$$\frac{1}{2.1}$$ – частина роботи, яку виконають разом.
Складемо рівняння:
$$\frac{1}{x-4}+\frac{1}{x}=\frac{1}{2.1} \sim \frac{1}{x-4}+\frac{1}{x}=\frac{10}{21}$$
Перенесемо в один бік, приведемо до спільного знаменника і запишемо під одним дробом:
$$\frac{21\cdot x+21\cdot (x-4)-10\cdot x\cdot (x-4)}{21\cdot x\cdot (x-4)}=0$$
Розкриємо дужки й запишемо, що чисельник дорівнює нулю, а знаменник не дорівнює нулю:
$$21x+21x-84-10x^2+40x=0,21\cdot x\cdot (x-4)\neq0$$
Приведемо подібні доданки:
$$10x^2-82x+84=0,x\neq 0, x\neq 4$$
Розділимо обидві частини рівняння на 2:
$$5x^2-41x+42=0$$
$$D=41^2-4\cdot5\cdot42=1682-840=841=29^2$$
$$x_{1}=\frac{41-29}{10}=1.2, x_{2}=\frac{41+29}{10}=7$$
$$x_{1}=1.2$$ – сторонній корінь (інакше $$x-4<0)$$
Отже, другому робітнику знадобиться 7 годин на самостійне виконання завдання.
Відповідь: 7.
Завдання 33
У чотирикутну піраміду, в основі якої лежить рівнобічна трапеція з бічною стороною 13 см і основами 18 см і 8 см, вписано конус. Знайдіть площу бічної поверхні конуса $$S$$ (у см2), якщо всі бічні грані піраміди нахилені до площини основи під кутом $$60^{\circ}.$$ У відповіді запишіть значення $$\frac{S}{\pi}.$$
Рішення

Площа бічної поверхні конуса $$S=\pi R l,$$ де $$l$$ – твірна конуса, $$R$$ – радіус основи.
$$ABCD$$ – рівнобока трапеція: $$AD=18,BC=8, AB=CD=13$$ (див. рисунок зліва)
Проведемо висоти з точок $$B$$ й $$C$$ на $$AD.$$ $$BK=2R$$ – висота трапеції та катет прямокутного трикутника $$AKB.$$ $$AK=\frac{AD-BC}{2}=\frac{18-8}{2}=5.$$
$$BK=\sqrt{AB^2-AK^2}=\sqrt{13^2-5^2}=\sqrt{169-25}=\sqrt{144}=12$$
$$R=\frac{BK}{2}=6$$
З прямокутного трикутника (див. рисунок праворуч) $$l=\frac{R}{\cos 60^{\circ}}=6:\frac{1}{2}=12$$
$$\frac{S}{\pi}=R\cdot l=6\cdot 12=72$$
Відповідь: 72.
Завдання 34
На рисунку зображено графік функції $$y=f(x),$$ що визначена на проміжку $$\left ( -\infty;\infty \right )$$ і має лише три нулі. Розв’яжіть систему $$\left\{\begin{matrix} f(x)&\geqslant 0 \\ x^2+x-6&>0. \end{matrix}\right.$$
У відповіді запишіть суму всіх цілих розв’язків системи.
Рішення

$$f(x)\geqslant 0\Rightarrow x\in [-1;6]\cup \left \{ 9 \right \}$$
$$x^2+x-6>0\sim (x+3)(x-2)>0$$ (з рівняння $$x^2+x-6=0$$ за теоремою Вієта: $$x_{1}=-3,x_{2}=2)$$

$$x\in(-\infty;-3)\cup(2;\infty)$$

$$x\in(2;6]\cup\left \{ 9 \right \}$$
Сума всіх цілих рішень: $$3+4+5+6+9=27$$
Відповідь: 27.
Завдання 35
Знайдіть найменше значення $$a,$$ при якому має розв’язки рівняння $$\frac{1}{2}(\sin x+\sqrt{3}\cos x)=6-5a-2a^2$$
Рішення
$$\frac{1}{2}\sin x+\frac{\sqrt{3}}{2}\cos x=6-5a-2a^2$$
$$\cos 60^{\circ}\sin x+\sin 60^{\circ}\cos x=6-5a-2a^2$$
$$\sin (60^{\circ}+ x)=6-5a-2a^2$$
Найпростіше тригонометричне рівняння:
$$\sin x=a, |a|\leqslant 1$$
$$x=(-1)^k \arcsin a+\pi k,k\in\mathbb{Z}$$
$$|6-5a-2a^2|\leqslant 1$$
$$\left\{\begin{matrix} 6-5a-2a^2\leqslant 1\\ 6-5a-2a^2\geqslant -1 \end{matrix}\right.$$
$$\left\{\begin{matrix} 2a^2+5a-5\geqslant 0\\ 2a^2+5a-7 \leqslant 0 \end{matrix}\right.$$
$$2a^2+5a-5= 0, D=25+40=65,a_{1,2}=\frac{-5\pm \sqrt{65}}{4}$$
$$2a^2+5a-7 =0, D=25+56=81,a_{3,4}=\frac{-5\pm 9}{4}$$
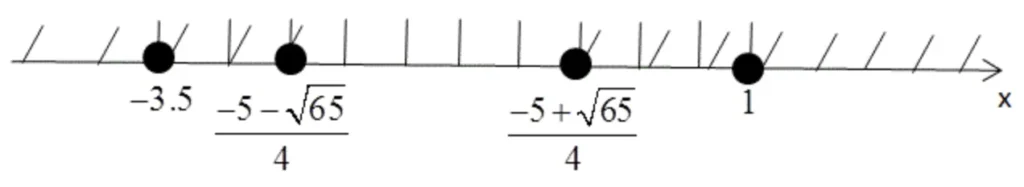
$$a_{1}=\frac{-5-\sqrt{65}}{4}>-3.5,a_{2}=\frac{-5+\sqrt{65}}{4}<1, a_{3}=-3.5,a_{4}=1$$
$$\left\{\begin{matrix} (a-\frac{-5-\sqrt{65}}{4})(a-\frac{-5+\sqrt{65}}{4})\geqslant 0\\ (a+3.5)(a-1) \leqslant 0 \end{matrix}\right.$$

$$a\in \left ( -\infty; \frac{-5-\sqrt{65}}{4}\right ]\cup\left [ \frac{-5+\sqrt{65}}{4};\infty \right )$$

$$a\in[-3.5;1]$$

$$a\in[-3.5;\frac{-5-\sqrt{65}}{4}]\cup[\frac{-5+\sqrt{65}}{4};1]$$
$$a_{min}=-3.5$$
Відповідь: -3.5.