Означення
Одночленом (мономом) називається вираз виду $$A \cdot x^{\alpha} \cdot y^{\beta} \cdot z^{\gamma}\cdot\ldots$$,
де $$\alpha,\beta,\gamma,\ldots\in\mathbb{Z}_{+},\alpha+\beta+\gamma+\ldots$$ — ступінь одночлена.
Тобто, одночленом називається раціональний вираз, що містить щодо букв, які в нього входять, лише дві дії: множення та зведення в цілий позитивний ступінь. Одночленом також вважається будь-яка константа (кожне окреме число), причому ступінь такого одночлена дорівнює нулю.
Многочленом (багаточленом, поліномом) називається алгебраїчна сума кількох одночленів.
$$P(x)=P_{n}(x)=\sum_{i=0}^{n}a_{i}x^i=a_{0}+a_{1}x+a_{2}x^2+\ldots+a_{n}x^n,\;a_{n}\neq0,\;n\in\mathbb{Z}_{+}$$ – многочлен n-го ступеня, упорядкований за ступенями, що зростають.
$$P_{n}(x)=a_{n}x^n+a_{n-1}x^{n-1}+\ldots+a_{1}x+a_{0},\;a_{n}\neq0,\;n\in\mathbb{Z}_{+}$$ – многочлен n-го ступеня, упорядкований за ступенями, що зменшуються.
$$x_0$$ називається коренем багаточлена $$P(x),$$ якщо $$P(x_{0})=0.$$
Якщо одночлени рівні або відрізняються лише коефіцієнтами, вони називаються подібними. Заміна суми алгебраїчних подібних членів одним, тотожно рівним цій сумі, називається приведенням подібних членів.
Ділення многочленів у стовпчик
- Упорядкувати багаточлени за ступенями (однакове впорядкування).
- Ділімо перший член діленого на перший член дільника та отримуємо перший член приватного.
- Множимо дільник на отриманий член приватного. Даний добуток віднімаємо від діленого та отримуємо залишок.
- Якщо залишок дорівнює нулю, то поділ закінчено. Якщо не дорівнює, то ділимо перший член залишку на перший член дільника та отримуємо наступний член приватного. Помножуємо на нього дільник і віднімаємо отриманий добуток від залишку.
- Повторюємо пункт 4 до тих пір, поки в залишку не отримаємо нуль (ділення націло) або поки перший член чергового залишку не буде ділитися на перший член дільника (ділення із залишком)
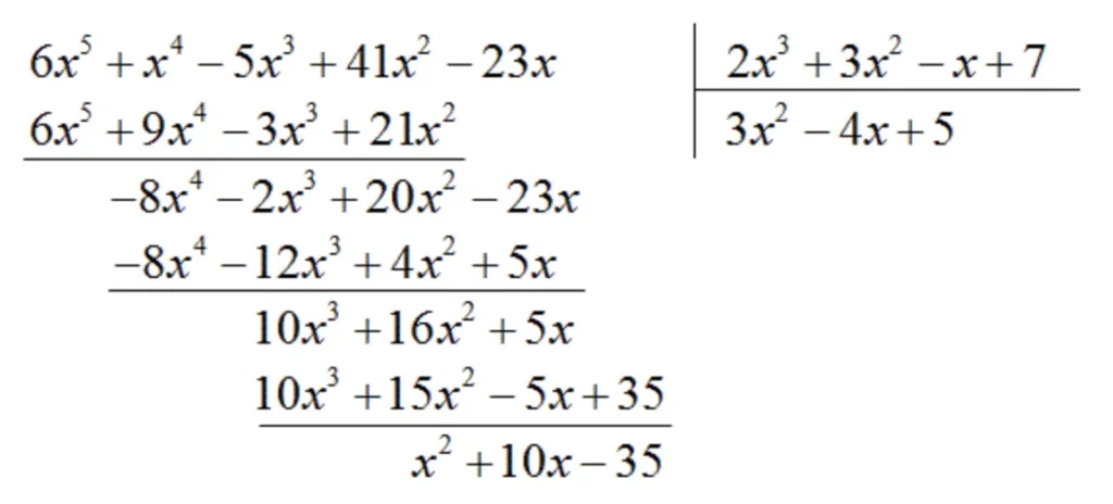
Приклад
$$\frac{-23x+6x^5-5x^3+41x^2+x^4}{2x^3+7-x+3x^2}=?$$

$$\frac{6x^5+x^4-5x^3+41x^2-23x}{2x^3+3x^2-x+7}=3x^2-4x+5+\frac{x^2+10x-35}{2x^3+3x^2-x+7}$$ – ділення із залишком.
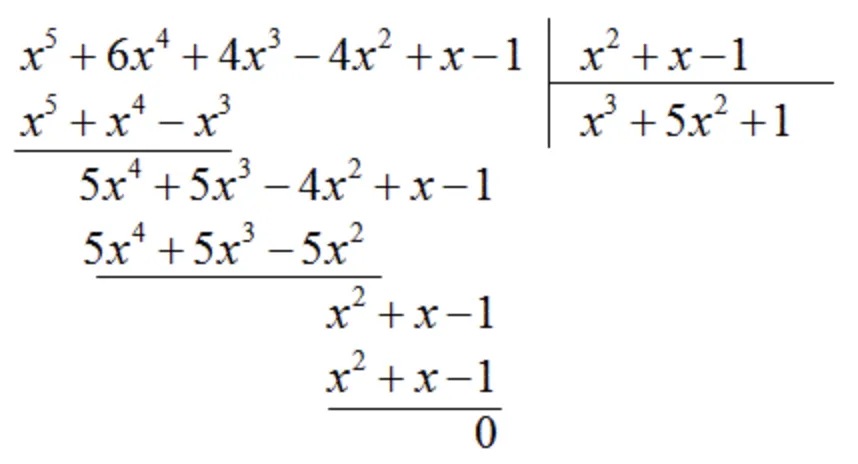
$$\frac{x^5+6x^4+4x^3-4x^2+x-1}{x^2+x-1}=?$$

$$\frac{x^5+6x^4+4x^3-4x^2+x-1}{x^2+x-1}=x^3+5x^2+1$$ – ділення націло.
Теорема Безу
Залишок від ділення багаточлена $$P(x)$$ на двочлен $$(x-a)$$ дорівнює $$P(a).$$
Наслідки з теореми:
- Число $$a$$ є коренем $$P(x)$$ тоді й лише тоді, коли $$P(x)$$ ділиться націло на двочлен $$(x-a).$$
- Цілим корінням багаточлена з цілими коефіцієнтами можуть бути лише дільники вільного члена у багаточлені (якщо старший коефіцієнт багаточлена дорівнює одиниці, то усі раціональні корені є й цілими).
Схема Горнера
Схема Горнера (метод Горнера, правило Горнера) – алгоритм обчислення значення полінома (багаточлена) при заданому значенні невідомої (змінної). Правило Горнера дозволяє знайти корені полінома, а також обчислити похідні багаточлена у заданій точці. Метод Горнера також є простим алгоритмом для поділу багаточлена на двочлен $$(x-a).$$
Приклад
Розглянемо метод Горнера при діленні багаточлена $$P(x)=x^3-4x^2+2x+4$$ на двочлен $$x-2.$$
Рішення
Складемо таблицю, що складається із двох рядків. У перший рядок, починаючи з другого осередку, запишемо коефіцієнти полінома $$P(x)=x^3-4x^2+2x+4$$ за зменшенням ступенів невідомої. У перший осередок другого рядка впишемо $$a=2.$$
| $$1$$ | $$-4$$ | $$2$$ | $$4$$ | |
| $$2$$ |
Почнемо заповнювати порожні осередки другого рядка.
У другий осередок запишемо 1 (просто переносимо його з другого осередку першого рядка).
У третій осередок запишемо $$2\cdot1-4=-2$$ (у другому рядку беремо числа з першого та другого осередків, знаходимо їх добуток і складаємо його з числом із третього осередку першого рядка), у четвертий записуємо $$2\cdot(-2)+2=-2$$ (у другому рядку беремо числа з першого та третього осередків, знаходимо їх добуток і складаємо його з числом із четвертого осередку першого рядка), аналогічно до п’ятого записуємо $$2\cdot(-2)+4=0.$$
| $$1$$ | $$-4$$ | $$2$$ | $$4$$ | |
| $$2$$ | $$1$$ | $$-2$$ | $$-2$$ | $$0$$ |
Числа другого рядка (крім першого та останнього) є коефіцієнтами багаточлена, отриманого після ділення багаточлена $$P(x)=x^3-4x^2+2x+4$$ на двочлен $$x-2,$$ а останнє число другого рядка – залишком від ділення. У нашому випадку отримали: $$x^3-4x^2+2x+4=(x-2)(x^2-2x-2)+0$$ або $$x^3-4x^2+2x+4=(x-2)(x^2-2x-2)$$ – ділення націло.
Розкладання багаточленів на множники:
Якщо багаточлен може бути розкладений на множники (представлений у вигляді добутку двох або більшого числа багаточленів), то він називається розкладним на множники багаточленів, інакше – нерозкладним.
Основні способи розкладання багаточленів на множники:
- Винесення загального множника за дужки.
- Спосіб угруповання.
- Застосування формул скороченого множення.