Важливим розділом математики є дослідження аналітичних функцій. Воно зазвичай полягає у визначенні координат особливих точок функції та її значень у цих точках, а також у з’ясуванні особливостей функції, таких як наявність точок розриву, асимптот, точок перегинів, розривів тощо.
Maple 16, як і більш ранні версії цього пакета, дають змогу студенту повністю досліджувати функції та будувати їхні графіки.
За допомогою функції fsolve легко знаходяться значення незалежної змінної x функцій виду f(x), за яких f(x)=0 (корені цього рівняння). При цьому ця функція дає змогу (на відміну від функції solve) ізолювати корені функції f(x) із зазначенням приблизного інтервалу їхнього існування. Низка функцій слугує для обчислення екстремумів, максимумів і мінімумів функцій, а також для визначення їхньої безперервності.
Для дослідження функцій на безперервність Maple 16 має функцію iscont, яку записують у низці форм: iscont(expr, x=a..b), iscont(expr, x=a..b, ‘closed’) й iscont( expr, x=a.. b, ‘open’).
Функції, що не мають безперервності, завдають багато клопоту. В Maple 16 функція discont(f, х) дає змогу визначити точки, в яких порушується безперервність функції f(x). Вона обчислює всі точки в межах змін від $$-\infty$$ до $$\infty.$$ Результати обчислень можуть містити особливі екстра змінні з іменами виду _Zn- й _NNn-. Зокрема, вони дають змогу оцінити періодичні порушення безперервності функцій.
Багато операцій, як-от інтегрування та диференціювання, чутливі до особливостей функцій, зокрема до їхніх розривів та особливих точок. Функція singular(ехрr, vars) дає змогу знайти особливі (сингулярні) точки виразу ехрг, в яких вона відчуває розриви. Додатково серед параметрів може вказуватися необов’язковий список змінних.
Функція extrema дає змогу знайти екстремуми виразу ехрr (як максимуми, так і мінімуми) при обмеженнях constraints і змінних vars, за якими шукається екстремум: extrema(expr, constraints), extrema(expr, constraints, vars) й extrema(expr, constraints, vars, ‘s’).
Обмеження constraints і змінні vars можуть задаватися поодинокими об’єктами або списками низки обмежень і змінних. Знайдені координати точки екстремуму присвоюються змінній ‘s’. За відсутності обмежень у вигляді рівностей або нерівностей замість них записується порожній список {}.
Функція extrema повертає як значення екстремумів, так і значення аргументів, за яких екстремуми спостерігаються.
Часто потрібно знайти мінімум або максимум заданої функції. Для пошуку мінімумів і максимумів виразів (функцій) ехрr слугують функції стандартної бібліотеки: minimize(expr, opt1, opt2, …, optn) й maximize(expr, opt1, opt2, …, optn).
Ці функції можуть розшукувати максимуми та мінімуми для функцій як однієї, так і декількох змінних. За допомогою опцій optl, opt2, … , optn можна вказувати додаткові дані для пошуку.
Для обчислення границь функціїf в точці x=a використовуються такі функції: limit(f, x=a, dir) й Limit(f, x=a, dir).
Тут f – алгебраїчний вираз, х – ім’я змінної, dir – параметр, що вказує на напрямок пошуку границі (left — зліва, right — справа, real — в області дійсних значень, complex — в області комплексних значень). Значенням a може бути нескінченність (як позитивна, так і негативна).
Для знаходження похідної застосовують диференціальний оператор, який можна записувати в таких формах: D(f) або D[i](f), де параметр f — вираз або ім’я функції, i — позитивне ціле число, вираз або послідовність. Цей оператор дає змогу скоротити запис, тобто D(f)=unapply(diff(f(x), x), x) в формі D(f)(x) = diff(f(x), x). Для знаходження n похідної використовують (D@@n)(f).
Для побудови двовимірних графіків слугує функція plot. Вона задається у вигляді: plot(f, h, v) й plot(f, h, v, …), де f — функція (або функції), що візуалізується, h — змінна із зазначенням області її зміни по горизонталі, v — необов’язкова змінна із зазначенням області зміни функції по вертикалі, далі може слідувати параметр або набір параметрів, що задають стиль побудови графіка (товщину і колір кривих, тип кривих, мітки на них тощо). Зазвичай записують plot(f(x), x=a..b). Діапазон зміни незалежної змінної x задається як a..b, де a й b — мінімальне і максимальне значення x, .. (дві точки) — складовий символ, що вказує на зміну незалежної змінної. Зрозуміло, ім’я [ тут дано умовно – незалежна змінна може мати будь-яке допустиме ім’я.
Крім побудови самої кривої f(x) необхідно задати низку інших властивостей графіків, наприклад виведення координатних осей, тип і колір ліній графіка тощо. Це досягається застосуванням параметрів графіка – спеціальних вказівок для Maple. Графіки зазвичай (хоча і не завжди) будуються відразу в досить прийнятному вигляді. Це досягається тим, що багато параметрів задаються за замовчуванням і користувач, принаймні початківець, може про них нічого не знати. Однак мова Maple 16 дає змогу задавати керуючі параметри і в явному вигляді.
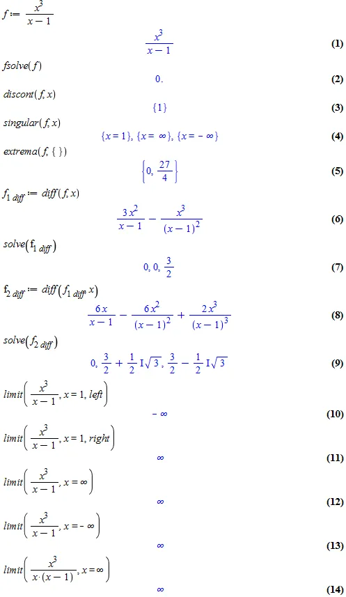
Приклад
Дослідити функцію та побудувати графік
$$y=\frac{x^3}{x-1}$$
Досліджуємо функцію засобами Maple 16:

Побудуємо графік функції за допомогою Maple 16:
